
政策解讀

快速擇校
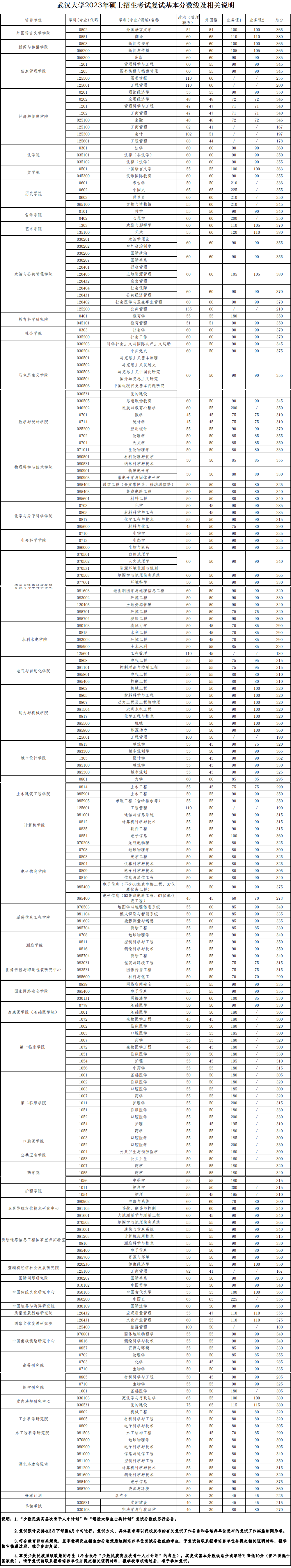
2024年武漢大學考研復試分數線預計3月中旬公布,以下是武漢大學2023年研究生各專業復試分數線詳情,供2024年考生參考~關于2024年武漢大學考研復試分數線信息請大家隨時留意武漢大學研究生招生網及各學院網站發布的最新信息。

2024年考研已進入逐步進入復試階段,大家可通過武漢大學研究生歷年分數線判斷自己是否可以達到錄取要求~關于2024年武漢大學復試調劑安排請考生及時關注武漢大學研究生招生網和各院系官網通知。
如果有考生未能順利上岸,還可以選擇直接就業或者選擇考公務員或教師編制、銀行編制、醫院編制、國企等機會。工作2~3年之后還可以選擇讀在職研究生,以提升自身能力與競爭力。
閱讀推薦
武大在職研究生招生動態
更多>在職研究生最新資訊
在職研究生院校招生資訊

2025-11-22

2025-11-21

2025-11-21

2025-11-21

2025-11-21

2025-11-21

2025-11-21

2025-11-21
客服電話:010-51264100
中國在職研究生網
免費咨詢
張老師
15901414201張老師
13810876422周老師
15811207920育小路

關注微信公眾號
招生政策隨時看

關注小程序
專業簡章學校隨時查