推薦簡章
更多>
政策解讀

快速擇校
2017雙證在職研究生經濟類聯考綜合能力真題及答案解析:
一、邏輯推理(本大題共2小題,每小題2分,共40分。下面每題所給出的五個選項中,只有—項是符合試題要求的。請在答韙卡上將所選項的字母涂黑。)
1.法制的健全或者執政者強有力的社會控制能力,是維持一個國家社會穩定的必不可少的條件。Y國社會穩定但法制尚不健全。園此,Y國的執政者具有強有力的社會控制能力。
以下哪項論證方式,和題干的最為類似?
A.一個影視作品,要想有高的收視率或票房價值,作品本身的質量和必要的包裝宣傳缺一不可。電影《青樓月》上映以來票房價值不佳但實際上質量堪稱上乘。因此,看來它缺少必要的廣告宣傳和媒介炒作。
B.必須有超常業績或者30年以上服務于本公司的工齡的雇員,才有資格獲得x公司本年度的特殊津貼。黃先生獲得了本年度的特殊津貼但在本公司僅供職5年,因此他一定有超常業績。
C.如果既經營無方又鋪張浪費,則一個企業將嚴重虧損。Z公司雖經營無方但并沒有嚴重虧損,這說明它至少沒有鋪張浪費。
D.一個罪犯要實施犯罪,必須既有作案動機,又有作案時間。在某案中,W先生有作案動機但無作案時間。因此,W先生不是該案的作案者。
E.一個論證不能成立,當且僅當,或者它的論據虛假,或者它的推理錯誤。J女士在科學年會上關于她的發現之科學價值的論證盡管邏輯嚴密,推理無誤,但還是被認定不能成立。因此,她的論證中至少有部分論據虛假。
【答案】B
【解析】題干的論證結構是:只有P或者Q,才R。R并且非P。因此,Q。B項的結構是:只有P或者Q,才R。R并且非Q。因此,P。在各選項中,B項和題干的結構最為類似。
2.在北歐一個稱為古堡的城鎮的郊外,有一個不乏兇禽猛獸的天然獵場。每年秋季,吸引了來自世界備地富于冒險精神的狩獵。一個秋季下來,古堡鎮的居民發現,他們之中此期間在馬路邊散步時被汽車撞傷的人的數量,比在狩獵時受到野獸意外傷害的人數多出了兩倍!因此,對于古堡鎮的居民來說,在狩獵季節,呆在狩獵場中比馬路邊散步更安全。
為了要評價上述結論的可信程度,最可能提出以下哪個問題?
A.在這個秋季,古堡鎮有多少數量的居民去狩獵場狩獵?
B.在這個秋季,古堡鎮有多少比例的居民去狩獵場狩獵?
C.古堡鎮的交通安全記錄在周邊幾個城鎮中是否是最差的?
D.來自世界各地的狩獵者在這個季節中有多少比例的人在狩獵時意外受傷?
E.古堡鎮的居民中有多少號獵手?
【答案】B
【解析】因秋季古堡鎮的居民在馬路邊散步的人數比例很高,只有在知道了古堡鎮居民中去獵場狩獵的人數比例,對這兩個場合中的受到意外傷害的人數進行比較才有意義。即為B項。
3.看電視的兒童需要在屏幕閃現的時間內處理聲音和圖像,這么短的時間僅僅可以使眼睛和耳朵能夠接受信息;讀書則不同,兒童可以以自己想要的速度閱讀,電視圖像出現的速度如此機械而無情,它阻礙了而不是提高了兒童的想象力。
上述觀點最可能基于下面哪個選項?
A.當被允許選擇一種娛樂時,兒童會更喜歡讀書而不是看電視。
B.兒童除非可以接觸到電視和書,否則其想象力不會得到適當的激發。
C.當兒童可以控制娛樂的速度時,他的想象力可以得到更完全的發展。
D.兒童剛剛能理解電視上的內容時,就應教他們讀書。
E.由于每個孩子都是不同的,因此孩子對不同的感官刺激的反應時不可預測的。
【答案】C
【解析】共變法或者題干是有A有B,選項無A無B的支持。根據圖像和聲音出現的時間少,得出結論:看電視阻礙了兒童的想像力。即,如果圖像和聲音出現的時間足夠多,兒童的想像力能夠得到更完全的發展,即C。
4.當大學生被問到他們童年時代的經歷時,那些記得其父母經常經歷病痛的正是那些成年后本人也經常經歷一些疼痛(如頭痛)的人。這個證據說明,一個人在兒童時代對成人病痛的觀察會使其本人在成年后容易感染病痛。
下面哪個,如果正確,最嚴重地削弱了以上論述?
A.那些記得自己小時候常處于病痛的學生不比其他大多數學生更容易經歷疼痛。
B.經常處于病痛狀態的父母在孩子長大后仍然經常經歷病痛。
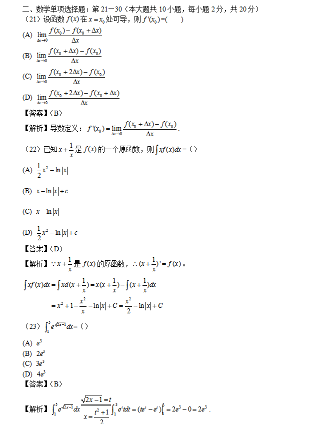
C.大學生比其他成年人經歷的頭疼痛常見病痛少。
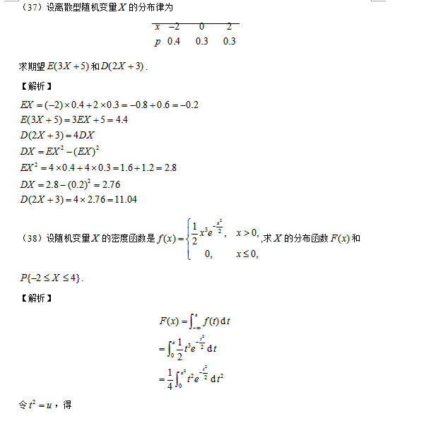
D.成年人能清晰地記住兒童時期病痛時周圍的情形,卻很少能想起孩提時代自身病痛的感覺。
E.一個人成年時對童年的回憶,總是注意那些能夠反映本人成年后經歷的事情。
【答案】E
因果倒置
5.不僅人上了年紀會難以集中注意力,就連蜘蛛也有類似的情況。年輕蜘蛛結的網整齊均勻,角度完美,年老蜘蛛結的網可能出現缺口,形狀怪異。蜘蛛越老,結的網就越沒有章法。科學家由此認為,隨著時間的流逝,這種動物的大腦也會像人腦一樣退化。
以下哪項如果為真,最能質疑科學家的上述論證?
A.優美的蛛網更容易受到異性蜘蛛的青睞。
B.年老蜘蛛的大腦較之年輕蜘蛛,其腦容量明顯偏小。
C.運動器官的老化會導致年老蜘蛛結網能力下降。
D.蜘蛛結網只是一種本能的行為,并不受大腦控制。
E.形狀怪異的蜘蛛網較之整齊均勻的蜘蛛網,其功能沒有大的差別。
【答案】D (2014.1-49題,管理類聯考)
【解析】題干推理:“蜘蛛越老,結的網就越沒有章法”→“這種動物的大腦也會像人腦一樣退化”。D項說明蜘蛛結網并不受大腦控制,切斷了論據與論點之間的聯系,質疑了題干論證。故正確答案為D。
7.胡蘿卜、西紅柿和其他一些蔬菜臺有較豐富的β-胡蘿卜素,β-胡蘿卜素具有防止細胞癌變的作用。近年來提煉出一些蔬菜含有較豐富的β-胡蘿卜素被制成片劑并建議吸煙者服用,以防止吸煙引起的癌變。然而,意大利博洛尼亞大學和美國德克薩斯大學的科學家發現,經常服用β-胡蘿卜素片劑的吸煙者反而比不常服用β-胡蘿卜素片劑的吸煙者更易于患癌癥。
以下哪項如果為真,最能解釋上述矛盾?
A.有些β-胡蘿卜素片劑含有不潔物質,其中有致癌物
B.意大利博洛尼亞大學和美國德克蒂靳大學地租的居民吸煙者中癌癥患者的比例都較其他地區高
C.經常服用β-胡蘿卜素片劑的吸煙者有其他許多易于患癌癥的不良習慣
D. β-胡蘿卜素片劑都不穩定,易于分解變性,從而與身體發生不良反應,易于致癌,而自然β-胡蘿卜素性質穩定,不會致癌。
E.吸煙者吸入體內的煙霧中的尼古丁與β-胡蘿卜素發生作用,生成一種比尼古丁致癌作用更強的物質。
【答案】E
【解析】A含有“有些”,屬于特例,并不能解釋普遍性的現象。B與題干推理過程無關。C、D不能說明服用β-胡蘿卜素片劑的吸煙者是否比其他吸煙者有更多的不良習慣,故選E。
8.第二次世界大戰末期,生育期的婦女數目創紀錄地低,然后幾乎20年后,她們的孩子的數目創紀錄地高。在1957年平均每個家庭有3.72個孩子,現在戰后嬰兒數目創紀錄地低。在1983年平均每個家庭有1.79個孩子一比1957年少兩個甚至低于2.11個的人口自然淘汰率。問,從上文中可以推導出什么?
A.對于出生率高的時候,一定有相對大量的婦女在她們的生育期。
B.影響出生率最重要的因素是該國是否參加一場戰爭。
C.除非有極其特殊的環境,出生率將不低于人口的自然淘汰率。
D.對于出生率低的時候,一定有相對少的婦女在她們的生育期。
E.出生率不與生育婦女的數目成正比。
【答案】E
【解析】題干的整個推理有兩個關注點“生育期婦女”和“出生率”。
9.用卡車能把蔬菜在2天內從某一農村運到新墨西哥州的市場上,總費用是300美元。而用火車運輸蔬菜則需4天,總費用是200美元。如果減少運輸時間比減少運輸費用對于蔬菜主人更重要的話,那么他就會用卡車運蔬菜。下面哪項是上面段落所做的一個假設?
A.火車運的蔬菜比用卡車運的蔬菜在出售時獲利更多。
B.除了速度和費用以外,用火車和卡車來進行從農場到新墨西哥州的運輸之間沒有什么差別。
c.如果運費提高的話,用火車把蔬菜從農場運到新墨西哥州的時間可以減少到兩天。
D.該地區的蔬菜主人更關心的是運輸成本而不是把蔬菜運往市場花費的時間。
E.用卡車運輸蔬菜對該農業區的蔬菜主人而言每天至少值200美元。
【答案】B
【解析】題干結論:如果減少運輸時間比減少運輸費用對于蔬菜主人更重要的話,那么他就會用卡車運蔬菜。
可以采用“加非驗證”。A項可以削弱題干,不選。B項加非:除了速度和費用以外,用火車和卡車來進行從農場到新墨西哥的運輸之間還有很多差別。說明未必是從速度考慮才采用汽車,削弱了題干,為正確選項。
C項為無關選項,題干中沒有涉及具體時間。D項與題干意思不能相符,削弱。E項,題干是卡車或火車的類比,該項只提及卡車,但火車如何,則未知。
10.佛山市的郊區平均每個家庭擁有2.4部小汽車,因而郊區的居民出行幾乎不坐公交車。因此,郊區的市政幾乎不可能從享受補貼的服務于郊區的公交系統中受益。以下哪項如果為真,最能質疑上進結論?
A.佛江市內的房地產稅率比郊區的要高。
B.去年郊區旨在增加公交線路補貼的市政議案以微小差距被否決了。
C.郊區許多商店之所以能吸引到足夠的雇員正式因為有享受市政補貼的公交系統可用。
D.公交車在上座率少于35%時,每英里乘客產生的污染超過私家車。
E.如果公交車乘客數量下降,明年郊區市政大多數投票者都不支持繼續補貼公交系統。
【答案】C
【解析】題干由佛江郊區居民幾乎不坐公交車,得出結論郊區市政沒有從公交系統中獲益。A項房地產稅率、B項郊區公交補貼的議案被否決、D項產生的污染,都為無關項;C項直接說明可以從公交系統中受益,質疑了題干論證。故答案選C。
11、以下哪項指出了上述論證最主要的漏洞?
A、它忽視了老年與青少年之外的人群自殺的可能性
B、它想當然地認為,非處方安眠藥準入市場對兩種不同人群有相同的效果
C、它假設青少年自殺率下降必然意味著青少年自殺人數下降
D、它忽視了S國死亡總人數自1995年以來已經增加了
E、它依賴與其結論相矛盾的證據
12、以下哪項為真,將最有力支持S國自殺處于上升狀態?
A、服用過量安眠藥的人中老年人最多
B、服用過量安眠藥在十年前不是最普遍的自殺方式
C、近年來S國的自然死亡人數在下降
D、在因服用過量非處方安眠藥而死亡的人中,太多數并非意外
E、S國的自殺率高于世界平均自殺率
13.科西嘉島野生歐洲盤羊是8000年前這個島上的馴養羊逃到野外后的直系后代,因而它們為考古
學家提供了在人為選擇培育產生現代馴養羊之前早期馴養羊的模樣的圖畫。
上述論證依賴于以下哪項假設?
A.8000年前的馴養羊與那時的野生羊極不相像
B.現存的羊中已經沒有品種與野生歐洲盤羊的祖先在相同時期逃離馴養
C.現代馴養羊是8000年前野生羊的直系后代
D.歐洲盤羊比現代馴養羊更像它們8000年前的祖先
E.科西嘉島的氣候在最近8000年幾乎沒有發生變化
【答案】D。
【解析】題干推理“科西嘉島野生歐洲盤羊是8000年前的馴養羊逃到野外后的直系后代”→“科西嘉島野生歐洲盤羊為考古學家提供了在現代馴養羊產生之前早期馴養羊的模樣圖”。
D項建立了題干前提和結論之間的聯系,即“科西嘉島野生歐洲盤羊比現代馴養羊更像它們8000年前的祖先”。A項當時的野生羊、B項是否有其他品種的羊、C項現代馴養羊是否是野生羊的后代、E項氣候,都與題干推理無關,排除。
14.某大學一個本科專業按如下原則選拔特別獎學金的候選人:將本專業的學生按德育情況排列名次,均分為上、中、下三個等級(即三個等級的人數相等,下同)。候選人在德育方面的表現必須為上等;將本專業的學生按學習成績排列名次,均分為優、良、中、差四個等級。候選人的學習成績必須為優,將本專業的學生按身體狀況排列名次,均分為好與差兩個等級。候選人的身體狀況必須為好。
假設該專業共有36名本科學生,則除了以下哪項外,其余都有可能是這次選拔的結果?
A.恰好有四個學生被選為候選人。
B.只有兩名學生被選為候選人。
C.沒有學生被選為候選人。
D.候選人數多于本專業學生的四分之一。
E.候選人數少于本專業學生的三分之一。
【答案】D(2016.1-12,經濟類聯考 《邏輯歷年真題全解析-p125》)
【難度】
【解析】:題干中將本專業的學生按學習成績排列名次,均分為優、良、中、差四個等級。而且四個等級的人數相等,可知獲得優的學生為9個,候選人的學習成績必須是第一等優,那么候選人數少于或等于本專業學生的1/4。D選項與其矛盾。所以正確答案是D。
【考點】結論題
【評析】該題有些類似簡單計算題,較易選對答案。
15.直到最近專家還相信是環境而非基因對人類個性影響最大,但是,一項新的研究卻表明:一起成長起來的同卵雙生子的個性相似之處比一起成長起來的非同卵雙生子多。因此,這項研究得出的結論認為,基因在決定個性方面確實起重要作用。下面哪個如果正確,對該研究的結論提出了最大的質疑?( )
A.在不同家庭撫養的同卵雙胞胎表現出的性格相同之處比同種情況下非同卵雙生的雙胞胎表現出來的相同之處多。
B.不論雙胞胎舉止如何,父母對待同卵雙胞胎的方式總是容易激發出相似的性格特征,而對待非同卵雙胞胎的方式卻并非如此。
C.擁有同卵雙胞胎和非同卵雙胞胎的父母一致認為他們的孩子從嬰兒起性格就已固定了。
D.親生父親和他們的同卵雙胞胎之間會有許多相似的性格,而養父母和雙胞胎之間的相似性格則沒有多少。
E.無論同卵雙胞胎還是非同卵雙胞胎,在他們成長過程中,他們個人性格的變化都不會發生明顯變化。
【答案】B
【解析】B項說明同卵雙胞胎相似的特征是由于父母撫養孩子時對待他們的方式造成的,因而不是由遺傳基因的因素造成的。









四、寫作:第41~42小題,共40分。其中論證有效性分析 20分,論說文20分。請寫在答題紙上。
41.分析下述論證中存在的缺陷和漏洞,選擇若干要點,寫一篇600字左右的文章,對該論證的有效性進行分析和評論。
我們知道,如果市場規模擴大,最終產品的需求將是巨大的,采用先進技術進行生產的企業,因為產品是高附加值的,所以投資回報率高,工人的工資報酬也高。如果工人遇到的工資報酬高,那么所有的工人都會爭先恐后選擇在采用先進技術生產的企業工作,這樣一來,低技術、低附加值、低工資的勞動密集型企業就會自動淘汰出局了,市場上最終生存下來的都是采用先進技術的高新技術企業。
相反地,如果市場規模狹小,最終產品的需求非常小,而且采用先進技術的成本很高,生產出來的高技術產品根本無人問津,企業無利可圖,因此沒有一家企業愿意采用先進技術進行生產。這時工人即使擁有高技術,也會發現英雄無用武之地。最終,市場上剩下的都是低技術、低附加值、低工資的勞動密集型企業了。
由此可見,市場規模決定了先進技術的采用與否。沒有大的市場規模就別指望涌現高新的技術企業。中國不僅擁有龐大的國內市場,而且擁有更龐大的國際市場,所以大可不必為中國低技術、低附加值、低工資的勞動密集型企業擔心,更不要大動干戈搞什么產業結構升級,政府應該采取“無為而治”的方針,讓市場去進行“自然選擇”,決定什么樣的企業最終存活下來。所以,政府要做的唯一事情就是做大市場,只要政府把市場做大了,就什么都不用發愁了。
要點解析:
1.先進技術的高新技術企業與低技術、低附加值、低工資的勞動密集型企業,并不是非此即彼的關系。
2.如果工人遇見到工資報酬高,那么都會到先進技術生產的企業工作,勞動密集型企業就會出局,該論證中隱含一個前提,即所有的工人都具備到先進技術企業的工作能力,然而,現實情況很可能是,有些勞動者由于教育背景、工作技能等條件的限制,只能選擇到勞動密集型企業就業。該隱含假設是不成立的。
3.由于市場規模小、產品需求小,無利可圖,將沒有企業愿意采取先進技術進行生產,這是值得商榷的。
4.市場規模決定了先進技術的采用與否,即使沒有大的市場規模,未必不能涌現高新技術企業。
5.中國擁有龐大的國內、外市場,未必不需為勞動密集型企業擔心,也未必不用搞產業結構升級。
6.政府應該采取措施干預經濟與讓市場去進行“自然選擇”并不矛盾,二種手段完全可以結合。
7.政府要做的唯一事情就是做大市場,只要政府把市場做大了,就什么都不用發愁了,這是過于絕對化的表述。
42.論說文
閱讀下面的材料,以“是否應該對窮人提供福利?”為題,寫一篇不少于600字的論說文。
國家是否應該對窮人提供福利存在較大的爭論。反對者認為:貪婪、自私、懶惰是人的本性。如果有福利,人人都有都想獲取。貧窮在大多數情況下是懶惰造成的。為窮人提供福利相當于把努力工作的人的財富轉移給了懶惰的人。因此,窮人不應該享受福利的。
支持者則認為:如果沒有社會福利,窮人則沒有收入,就會造成社會動蕩,社會犯罪率會上升,相關的合理支出也會增多。其造成的危害可能大于提供社會福利的成本,最終也會影響努力工作的人的利益。因此,為窮人提供社會福利能夠穩定社會秩序,應該為窮人提供福利。
解析:2017年論說文的命題形式延續了2016論說文的形式,材料給出了一個社會熱點問題——國家提供“社會福利”的利與弊,并給出了反對者與支持者相應的理由,讓考生選取一個立場進行論證,注意觀點不要騎墻,立意要鮮明。
推薦簡章
更多>相關文章推薦
11
21
東華理工大學雙證在職研究生招生簡章為職場人士提供明確的學歷提升路徑,招生專業覆蓋理學院學科教學、水資源與環境工程及經濟與管理等領域,學費起價2.4萬元,專科畢業滿5年者可報考部分專業。報考條件要求本科或專科滿足年限,思想政治需擁護黨的領導,身體符合健康標準,資格審核嚴格貫穿全程。學費差異需提前規劃財務,避免影響報考進程,考生應密切關注簡章更新,把握職業進階機會。若需定制報考建議,可咨詢專業老師獲取指導。
11
21
武漢工程大學雙證在職研究生工程管理報考條件包含學歷背景與工作經驗雙重門檻,本科需3年、專科需5年以上從業經歷。該校非全日制項目嚴格執行在職研究生定向就業要求,考生須提前與用人單位簽訂定向協議,就讀期間不轉移檔案及戶口。武漢工程大學工程管理報考指南強調,意向考生應核查自身學歷資質并確認工作年限達標,同時落實定向單位。新招生周期報考流程包含網上報名、信息確認等環節,新增專業方向將延續同等經驗限制。建議職場人士提前準備學歷證明與工作年限材料,把握職業發展關鍵決策窗口。
11
21
延邊大學雙證在職研究生招生即將啟動,該校作為吉林省雙一流高校,為非全日制學員提供多領域深造機會。招生專業涵蓋管理類、教育類及醫療健康領域,學費設置呈現梯度化特征。其中工商管理與公共管理專業學費為4.8萬元,適合企事業單位管理者;學前教育與學科教學專業學費3.6萬元,定向培養教育創新人才;護理學專業以2.4萬元的經濟型學費成為亮點,課程體系融合臨床實踐與護理管理模塊,特別適合預算有限的醫療從業者。所有專業均采用周末授課與線上輔導相結合的靈活模式,畢業頒發教育部認證的雙證,效力等同全日制研究生。護理學專業憑借
11
21
企業高管在職業競爭加劇的今天,常面臨管理瓶頸和國際視野不足的挑戰,物流供應鏈雙證在職研究生性價比院校項目通過中外合作辦學模式提供高性價比解決方案。該項目融合中西先進理論和實踐,課程涵蓋供應鏈優化、風險管理等國際前沿內容,推薦院校如人大與女王大學合作項目,師資強大且實踐導向。招生要求包括大專以上學歷、相關工作經驗及英語能力,確保高管快速融入學習。核心優勢顯著:提升戰略決策能力、拓展全球業務網絡、增強個人競爭力、構建高端人脈及提升品牌影響力,幫助高管高效突破職業限制,實現戰略升級和飛躍。選擇此類項目,高管能兼
11
21
雙證在職研究生報考需系統規劃報考路徑與院校專業匹配。考生需確認本科畢業滿3年或專科畢業滿5年的基本資格,研招網報名時須勾選非全日制學習方式及定向就業類別。當前網上確認環節需重點核查證件信息與專業一致性,逾期將影響考試資格。初試科目含思想政治理論、外國語及專業課,管理類考生需備考數學邏輯寫作綜合。院校梯度推薦中,北京大學工商管理碩士開設數字化轉型方向,上海交通大學工程管理側重智能建造技術,華南師范大學教育博士聚焦基礎教育改革。專業選擇應結合職業規劃,管理類優先考慮工商管理戰略領導力課程或公共管理應急管理方向
11
20
湖南大學雙證在職研究生教育學報考條件首先是基礎通用條件,需遵紀守法和符合體檢標準;其次是學歷與工作年限要求,根據不同的學歷背景,工作年限也要顯著差異;最后是針對國(境)外學歷獲得者和非全日制的附加關鍵條件。另外對于學費解析和招生簡章等內容,在職人員也要提前進行充分的了解。
客服電話:010-51264100
中國在職研究生網
免費咨詢
張老師
15901414201張老師
13810876422周老師
15811207920育小路

關注微信公眾號
招生政策隨時看

關注小程序
專業簡章學校隨時查
評論0
“無需登錄,可直接評論...”